11. 위험물안전관리법령상 제6류 위험물을 수납하는 운반용기의 외부에 주의사항을 표시하여야 할 경우, 어떤 내용을 표시하여야 하는가?
1) 물기엄금
2) 화기엄금
3) 화기주의/충격주의
4) 가연물 접촉주의
답: 4
제6류 위험물은 산화성 액체이다. 제4류 위험물, 제2류 위험물에 산소를 제공하면서 화재 및 폭발이 일어날 수 있게 한다.
위험물의 종류 및 성질 - 제6류 위험물(산화성 액체)
유별 성질 품명 지정수량 제6류 산화성 액체 1. 과염소산 300kg 2. 과산화수소 300kg 3. 질산 300kg 4. 그 밖에 행정안정부령으로 정하는 것 300kg 5. 제1호 내지 제4호의 1에 해당하는 어느 하나 이상을 함
ikkujun.com
12. 다음 연소 생성물 중 인체에 독성이 가장 높은 것은?
1) 이산화탄소
2) 일산화탄소
3) 수증기
4) 포스겐
답: 4
포스겐(Phosgene, $COCl_2$)
포스겐의 가장 무서운 점은 단백질을 파괴한다는 것이다. 포스겐은 단백질의 아민(amine)기와 반응하여 이소시안네이트(-NCO)를 형성한다.이소세안네이트는 다른 단백질의 아민기와 추가로 반응하여 결합을 형성한다.이러한 작용으로 인해 포스겐이 폐로 들어가면 폐포를 구성하는 단백질이 손상되어 숨을 쉬지 못하게 된다.
그리고 물과 반응하여 염산을 생성한다.
$$COCl_2 + H_2O \rightarrow CO_2 + HCl$$
즉, 포스겐이 물과 결합하게 되면 이산화탄소와 염화수소로 분리되고, 이 염화수소가 물에 녹으면 염산이 된다. 따라서 이게 폐로 들어가면 폐안의 습기와 합쳐지면서 폐와 조직에 화학 화상을 입히게 된다. 그러면 폐포가 손상되어 호흡 능률이 떨어질 뿐 아니라, 손상된 조직에서 혈액이나 기타 체액이 폐 속으로 직접 유출되어 폐수종을 일으키고 '마른 익사'로 이어진다.
정말 조심해야하는 물질이다.
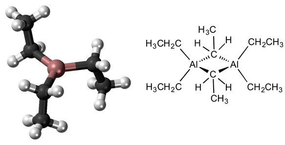
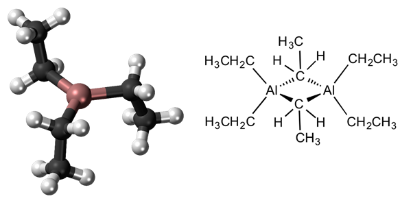
13. 알킬알루미늄 화재에 적합한 소화약제는?
1) 물
2) 이산화탄소
3) 팽창질석
4) 할로겐화합물
답: 3
알킬알루미늄은 대표적인 금수성물질로 물과 반응하여 폭발한다.
알킬알루미늄 중에 대표적인 물질: TEA(TriethylAluminium)

알킬알루미늄의 경우 적응성이 좋은 특정 소화약제가 없다. 그래서 이 물질이 연소하게 되면 가능한 산소를 차단할 수 있는 팽창질석, 팽창진주암이 그나마 효과적이다.
14. 열전도도(thermal conductivity)를 표시하는단위에 해당하는 것은?
1) $J/(m^2\cdot h)$
2) $kcal/h\cdot K$
3) $W/m\cdot K$
4) $J\cdot K/m^3$
답: 3
열전도도는 Fourier 법칙에 쓰이는 계수로, 이 법칙을 알고 있으면 단위를 외우기 쉽다.
Fourier 법칙

여기서 Q의 단위가 W이고
A는 [$m^2$]
T는 [K]
x는 [m]
왼쪽의 단위는 [W], 오른쪽의 단위는 [K·m]이므로 열전도도k의 단위는 W/(K·m)
칼로리(cal)가 포함된 단위로 바꾸면
Cal/K·m·h 가 된다.
15. 위험물안전관리법령상 위험물에 대한설명으로 옳은 것은?
1) 과염소산은 위험물이 아니다.
2) 황린은 제2류 위험물이다.
3) 황화린의 지정수량은 100 kg이다.
4) 산화성고체는 제6류 위험물의 성질이다.
답: 3
1) 과염소산은 제6류 위험물이다.
2) 황린은 자연발화성 물질로 제3류 위험물이다. 황린과 황화린의 차이점은 황(S, Sulfur)의 유무이다. 황린은 인(P)으로만 구성된 물질이고, 황화린은 인과 황이 조합되어 있는 화합물이다.
4) 산화성고체는 제1류 위험물이다.
'자격증' 카테고리의 다른 글
| 2021년 2회 소방설비기사(기계) 기출문제 해설 - 16번,17번,18번,19번,20번 (0) | 2021.08.12 |
|---|---|
| 르샤틀리에 공식 (폭발범위 계산 공식) (0) | 2021.08.11 |
| 가연성물질 연소범위, 연소하한계, 연소상한계 정리 (0) | 2021.08.09 |
| 2021년 2회 가스기사 기출문제 해설 - 6번,7번,8번,9번,10번 (0) | 2021.08.08 |
| 2021년 2회 소방설비기사(기계) 기출문제 해설 - 6번,7번,8번,9번,10번 (0) | 2021.08.07 |
댓글